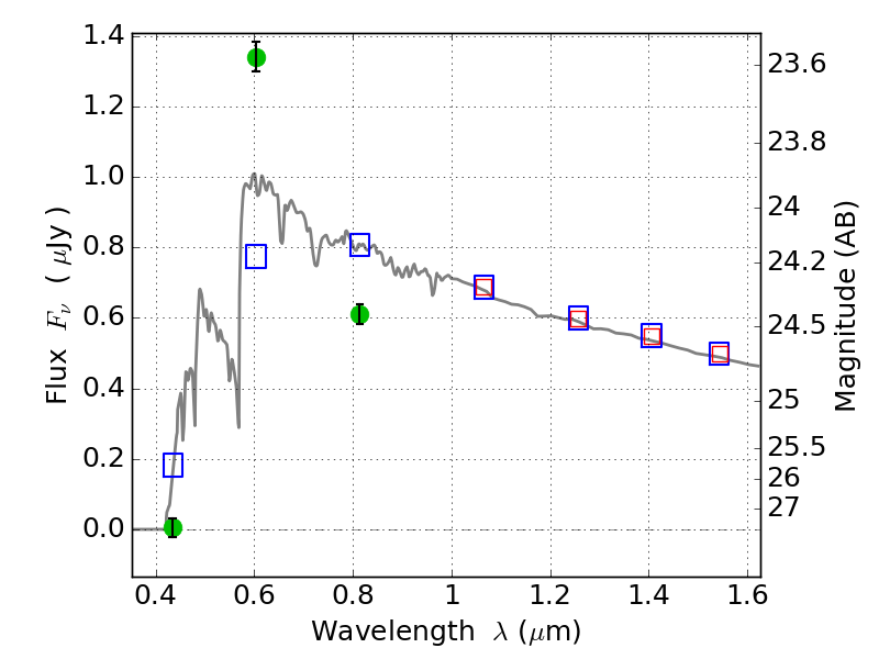
RXC0232-44 ACS+IR detection object #5027

Color images and BPZ results
Catalog: 5027.cat
Black segments are analyzed here.   Roll mouse over color images to view segments.
Best viewed in a wide browser window (1200 pixels or more).   Download SED & P(z) plots to view larger versions.
In P(z) plots: Yellow lines mark the cluster redshift z = 0.284,  

Object #5027   x,y = (3881, 1162)   RA, Dec = (02:32:10.584, -44:22:02.28) = (38.04410, -44.36730)   BPZ = 3.678 [3.634--3.762]   type = 11.00 (SB11_A_0_l)   chisq2 = 86.84   ODDS = 1.00   z_cluster = 0.284