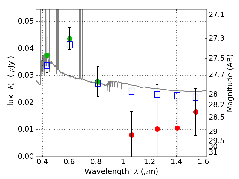
RXC0232-44 ACS+IR detection object #1873

Color images and BPZ results
Catalog: 1873.cat
Black segments are analyzed here.   Roll mouse over color images to view segments.
Best viewed in a wide browser window (1200 pixels or more).   Download SED & P(z) plots to view larger versions.
In P(z) plots: Yellow lines mark the cluster redshift z = 0.284,  

Object #1873   x,y = (2062, 3147)   RA, Dec = (02:32:20.760, -44:20:03.48) = (38.08650, -44.33430)   BPZ = 0.044 [0.024--3.060]   type = 11.00 (SB11_A_0_l)   chisq2 = 1.33   ODDS = 0.15   z_cluster = 0.284