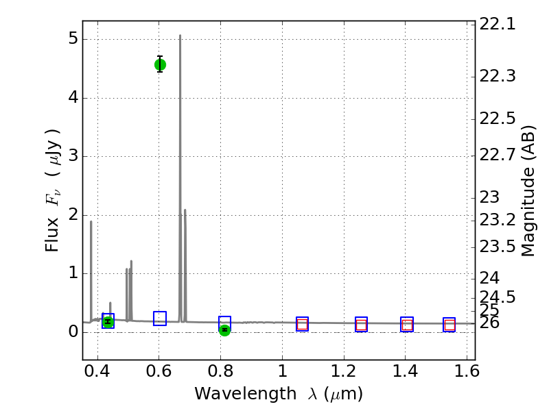
RXC0232-44 ACS+IR detection object #1414

Color images and BPZ results
Catalog: 1414.cat
Black segments are analyzed here.   Roll mouse over color images to view segments.
Best viewed in a wide browser window (1200 pixels or more).   Download SED & P(z) plots to view larger versions.
In P(z) plots: Yellow lines mark the cluster redshift z = 0.284,  

Object #1414   x,y = (897, 3301)   RA, Dec = (02:32:27.288, -44:19:54.12) = (38.11370, -44.33170)   BPZ = 0.020 [0.010--0.046]   type = 11.00 (SB11_A_0_l)   chisq2 = 1045.47   ODDS = 0.99   z_cluster = 0.284