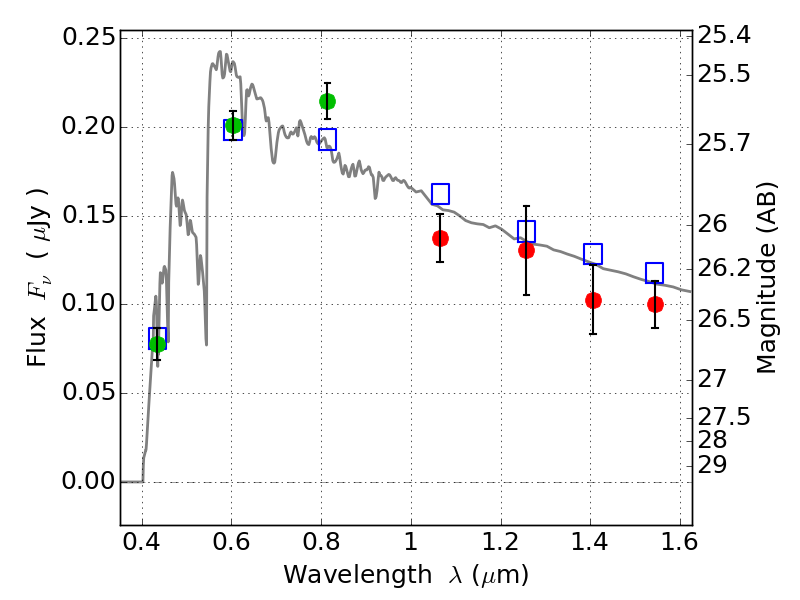
RXC0232-44 IR detection object #67

Color images and BPZ results
Catalog: 67.cat
Black segments are analyzed here.   Roll mouse over color images to view segments.
Best viewed in a wide browser window (1200 pixels or more).   Download SED & P(z) plots to view larger versions.
In P(z) plots: Yellow lines mark the cluster redshift z = 0.284,  

Object #67   x,y = (2362, 3388)   RA, Dec = (02:32:19.104, -44:19:48.72) = (38.07960, -44.33020)   BPZ = 3.478 [3.385--3.577]   type = 11.00 (SB11_A_0_l)   chisq2 = 1.42   ODDS = 1.00   z_cluster = 0.284