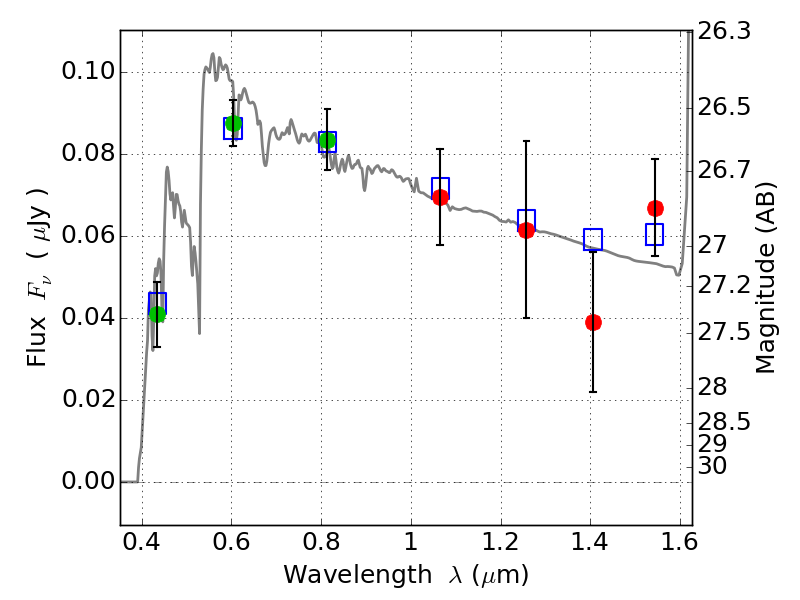
RXC0232-44 IR detection object #589

Color images and BPZ results
Catalog: 589.cat
Black segments are analyzed here.   Roll mouse over color images to view segments.
Best viewed in a wide browser window (1200 pixels or more).   Download SED & P(z) plots to view larger versions.
In P(z) plots: Yellow lines mark the cluster redshift z = 0.284,  

Object #589   x,y = (3505, 2565)   RA, Dec = (02:32:12.696, -44:20:38.40) = (38.05290, -44.34400)   BPZ = 3.364 [0.335--3.561]   type = 10.60 (SB11_A_0_l - SB3_B10)   chisq2 = 0.41   ODDS = 0.88   z_cluster = 0.284