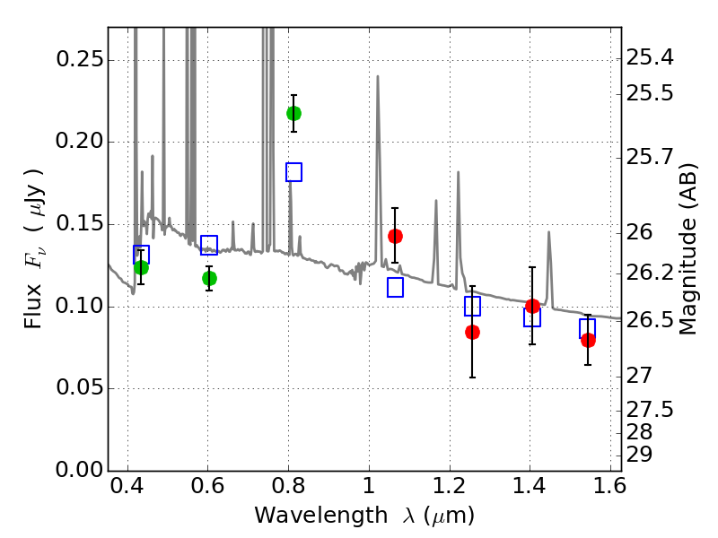
RXC0232-44 IR detection object #528

Color images and BPZ results
Catalog: 528.cat
Black segments are analyzed here.   Roll mouse over color images to view segments.
Best viewed in a wide browser window (1200 pixels or more).   Download SED & P(z) plots to view larger versions.
In P(z) plots: Yellow lines mark the cluster redshift z = 0.284,  

Object #528   x,y = (3440, 2527)   RA, Dec = (02:32:13.056, -44:20:40.56) = (38.05440, -44.34460)   BPZ = 0.135 [0.096--0.201]   type = 10.60 (SB11_A_0_l - SB3_B10)   chisq2 = 2.47   ODDS = 0.93   z_cluster = 0.284