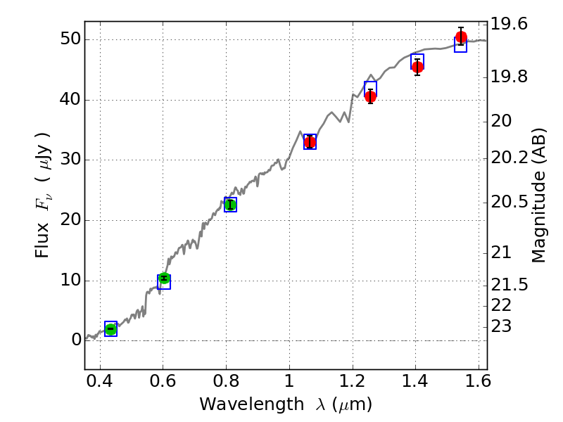
RXC0232-44 IR detection object #452

Color images and BPZ results
Catalog: 452.cat
Black segments are analyzed here.   Roll mouse over color images to view segments.
Best viewed in a wide browser window (1200 pixels or more).   Download SED & P(z) plots to view larger versions.
In P(z) plots: Yellow lines mark the cluster redshift z = 0.284,  

Object #452   x,y = (2873, 2435)   RA, Dec = (02:32:16.224, -44:20:45.96) = (38.06760, -44.34610)   BPZ = 0.373 [0.260--0.396]   type = 3.80 (Ell4_A_0 - Ell5_A_0)   chisq2 = 0.09   ODDS = 0.80   z_cluster = 0.284