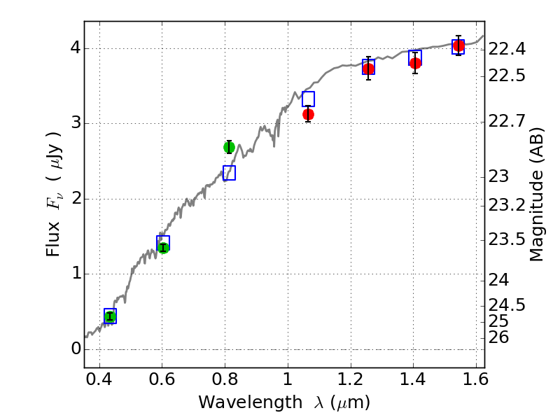
RXC0232-44 IR detection object #383

Color images and BPZ results
Catalog: 383.cat
Black segments are analyzed here.   Roll mouse over color images to view segments.
Best viewed in a wide browser window (1200 pixels or more).   Download SED & P(z) plots to view larger versions.
In P(z) plots: Yellow lines mark the cluster redshift z = 0.284,  

Object #383   x,y = (2426, 2709)   RA, Dec = (02:32:18.744, -44:20:29.76) = (38.07810, -44.34160)   BPZ = 0.118 [0.053--0.474]   type = 4.00 (Ell4_A_0)   chisq2 = 0.52   ODDS = 0.73   z_cluster = 0.284