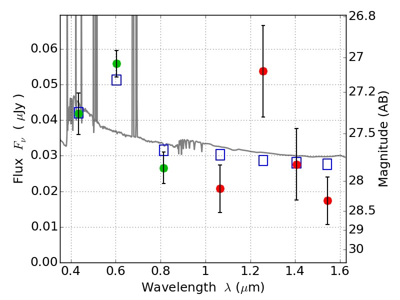
RXC0232-44 IR detection object #376

Color images and BPZ results
Catalog: 376.cat
Black segments are analyzed here.   Roll mouse over color images to view segments.
Best viewed in a wide browser window (1200 pixels or more).   Download SED & P(z) plots to view larger versions.
In P(z) plots: Yellow lines mark the cluster redshift z = 0.284,  

Object #376   x,y = (2352, 2737)   RA, Dec = (02:32:19.152, -44:20:27.96) = (38.07980, -44.34110)   BPZ = 0.029 [0.011--2.725]   type = 11.00 (SB11_A_0_l)   chisq2 = 2.16   ODDS = 0.92   z_cluster = 0.284