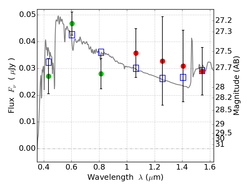
RXC0232-44 IR detection object #318

Color images and BPZ results
Catalog: 318.cat
Black segments are analyzed here.   Roll mouse over color images to view segments.
Best viewed in a wide browser window (1200 pixels or more).   Download SED & P(z) plots to view larger versions.
In P(z) plots: Yellow lines mark the cluster redshift z = 0.284,  

Object #318   x,y = (1552, 2823)   RA, Dec = (02:32:23.616, -44:20:22.56) = (38.09840, -44.33960)   BPZ = 2.945 [0.066--3.391]   type = 10.80 (SB11_A_0_l - SB3_B10)   chisq2 = 0.86   ODDS = 0.44   z_cluster = 0.284