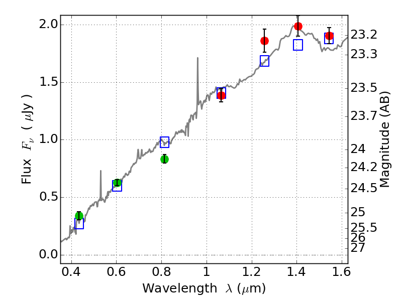
RXC0232-44 IR detection object #278

Color images and BPZ results
Catalog: 278.cat
Black segments are analyzed here.   Roll mouse over color images to view segments.
Best viewed in a wide browser window (1200 pixels or more).   Download SED & P(z) plots to view larger versions.
In P(z) plots: Yellow lines mark the cluster redshift z = 0.284,  

Object #278   x,y = (2837, 2858)   RA, Dec = (02:32:16.440, -44:20:20.76) = (38.06850, -44.33910)   BPZ = 0.062 [0.030--1.715]   type = 6.20 (Sbc_B10 - Scd_B10)   chisq2 = 0.99   ODDS = 0.32   z_cluster = 0.284