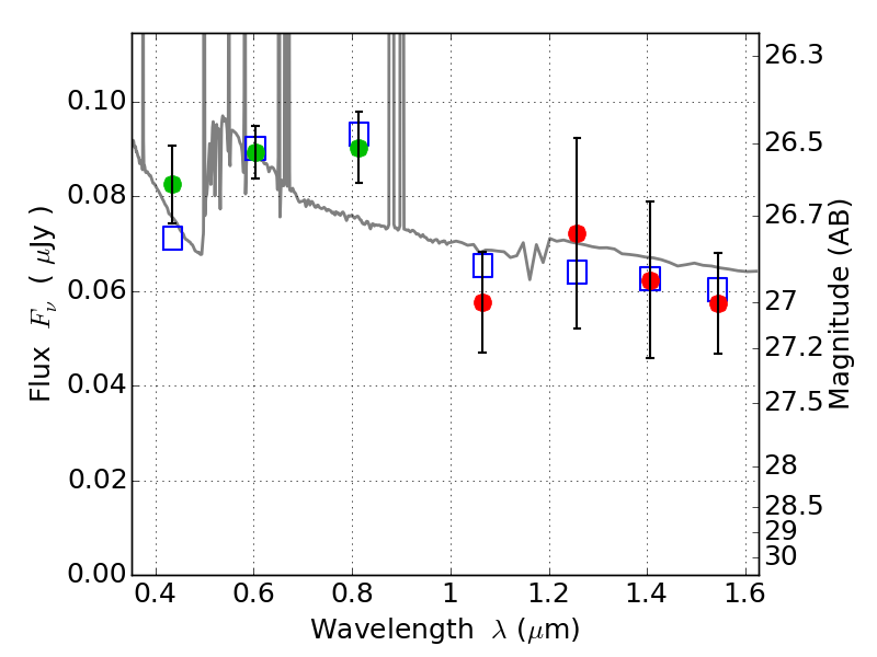
RXC0232-44 IR detection object #217

Color images and BPZ results
Catalog: 217.cat
Black segments are analyzed here.   Roll mouse over color images to view segments.
Best viewed in a wide browser window (1200 pixels or more).   Download SED & P(z) plots to view larger versions.
In P(z) plots: Yellow lines mark the cluster redshift z = 0.284,  

Object #217   x,y = (3250, 2996)   RA, Dec = (02:32:14.136, -44:20:12.48) = (38.05890, -44.33680)   BPZ = 0.337 [0.068--3.069]   type = 11.00 (SB11_A_0_l)   chisq2 = 0.48   ODDS = 0.23   z_cluster = 0.284