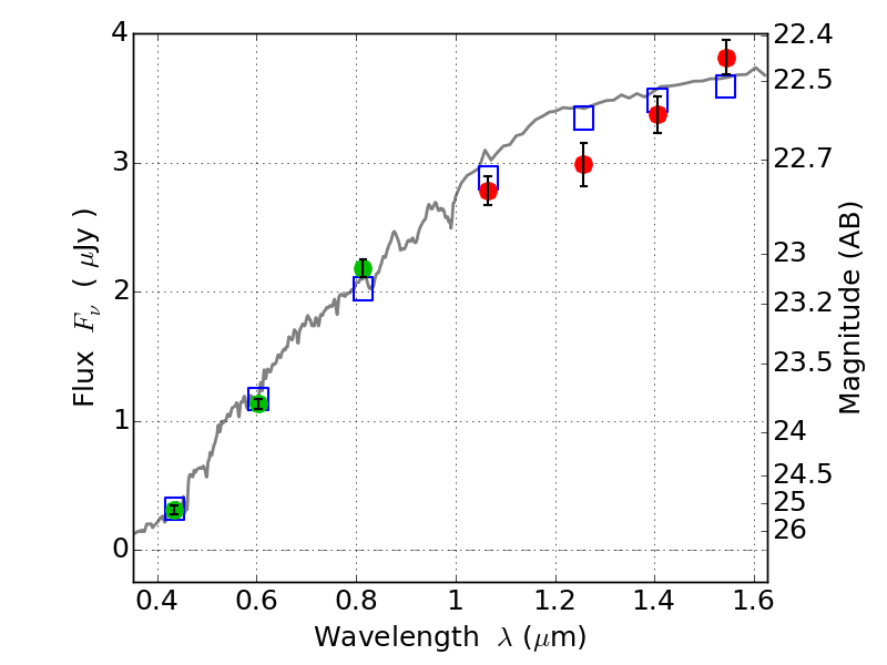
RXC0232-44 IR detection object #20

Color images and BPZ results
Catalog: 20.cat
Black segments are analyzed here.   Roll mouse over color images to view segments.
Best viewed in a wide browser window (1200 pixels or more).   Download SED & P(z) plots to view larger versions.
In P(z) plots: Yellow lines mark the cluster redshift z = 0.284,  

Object #20   x,y = (2298, 3548)   RA, Dec = (02:32:19.440, -44:19:39.36) = (38.08100, -44.32760)   BPZ = 0.163 [0.082--0.293]   type = 4.00 (Ell4_A_0)   chisq2 = 0.72   ODDS = 0.83   z_cluster = 0.284