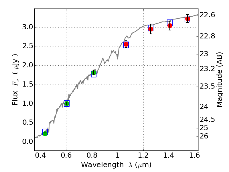
RXC0232-44 IR detection object #1018

Color images and BPZ results
Catalog: 1018.cat
Black segments are analyzed here.   Roll mouse over color images to view segments.
Best viewed in a wide browser window (1200 pixels or more).   Download SED & P(z) plots to view larger versions.
In P(z) plots: Yellow lines mark the cluster redshift z = 0.284,  

Object #1018   x,y = (1940, 1416)   RA, Dec = (02:32:21.456, -44:21:47.16) = (38.08940, -44.36310)   BPZ = 0.175 [0.096--0.216]   type = 3.80 (Ell4_A_0 - Ell5_A_0)   chisq2 = 0.05   ODDS = 0.86   z_cluster = 0.284