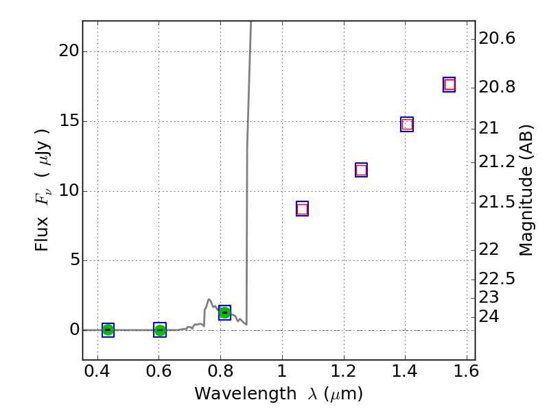
RXC0232-44 ACS+IR detection object #953

Color images and BPZ results
Catalog: 953.cat
Black segments are analyzed here.   Roll mouse over color images to view segments.
Best viewed in a wide browser window (1200 pixels or more).   Download SED & P(z) plots to view larger versions.
In P(z) plots: Yellow lines mark the cluster redshift z = 0.284,  

Object #953   x,y = (1034, 3673)   RA, Dec = (02:32:26.520, -44:19:31.80) = (38.11050, -44.32550)   BPZ = 6.290 [5.958--8.847]   type = 6.00 (Sbc_B10)   chisq2 = 0.00   ODDS = 0.43   z_cluster = 0.284