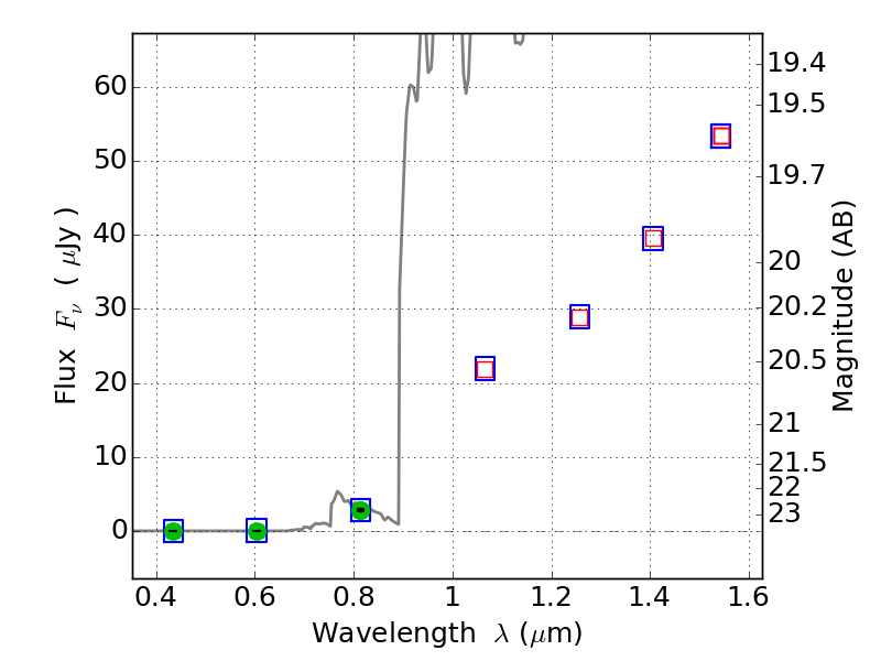
RXC0232-44 ACS+IR detection object #623
Color images and BPZ results
Catalog: 623.cat
Black segments are analyzed here. Roll mouse over color images to view segments.
Best viewed in a wide browser window (1200 pixels or more). Download SED & P(z) plots to view larger versions.
In P(z) plots: Yellow lines mark the cluster redshift z = 0.284,
Object #623 x,y = (1142, 3902) RA, Dec = (02:32:25.920, -44:19:18.12) = (38.10800, -44.32170) BPZ = 6.341 [6.087--8.388] type = 5.40 (ES0_B10 - Sbc_B10) chisq2 = 0.00 ODDS = 0.57 z_cluster = 0.284