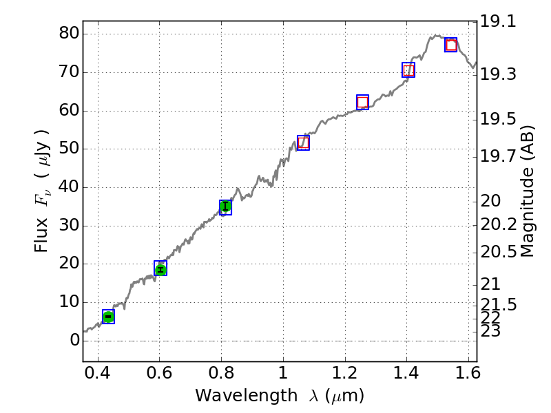
RXC0232-44 ACS+IR detection object #621

Color images and BPZ results
Catalog: 621.cat
Black segments are analyzed here.   Roll mouse over color images to view segments.
Best viewed in a wide browser window (1200 pixels or more).   Download SED & P(z) plots to view larger versions.
In P(z) plots: Yellow lines mark the cluster redshift z = 0.284,  

Object #621   x,y = (2529, 3875)   RA, Dec = (02:32:18.168, -44:19:19.56) = (38.07570, -44.32210)   BPZ = 0.133 [0.073--0.377]   type = 5.50 (Sbc_B10 - ES0_B10)   chisq2 = 0.02   ODDS = 0.50   z_cluster = 0.284