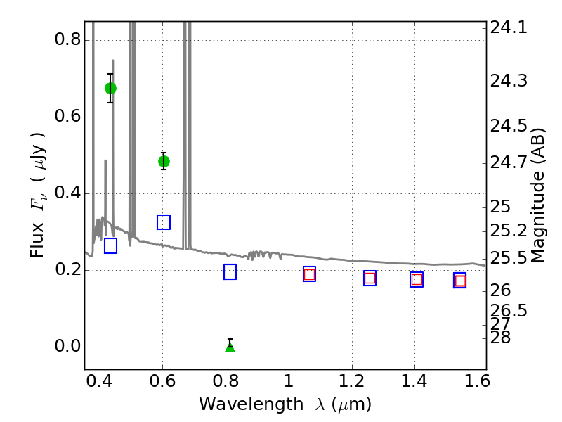
RXC0232-44 ACS+IR detection object #5980

Color images and BPZ results
Catalog: 5980.cat
Black segments are analyzed here.   Roll mouse over color images to view segments.
Best viewed in a wide browser window (1200 pixels or more).   Download SED & P(z) plots to view larger versions.
In P(z) plots: Yellow lines mark the cluster redshift z = 0.284,  

Object #5980   x,y = (3552, 211)   RA, Dec = (02:32:12.432, -44:22:59.52) = (38.05180, -44.38320)   BPZ = 0.018 [0.010--0.035]   type = 11.00 (SB11_A_0_l)   chisq2 = 203.30   ODDS = 1.00   z_cluster = 0.284