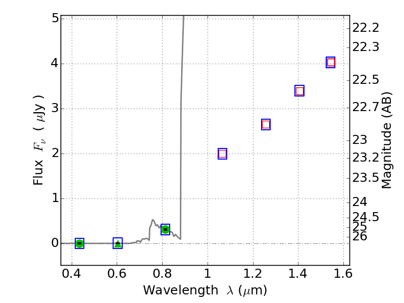
RXC0232-44 ACS+IR detection object #5883

Color images and BPZ results
Catalog: 5883.cat
Black segments are analyzed here.   Roll mouse over color images to view segments.
Best viewed in a wide browser window (1200 pixels or more).   Download SED & P(z) plots to view larger versions.
In P(z) plots: Yellow lines mark the cluster redshift z = 0.284,  

Object #5883   x,y = (3656, 464)   RA, Dec = (02:32:11.856, -44:22:44.40) = (38.04940, -44.37900)   BPZ = 6.254 [5.844--9.065]   type = 6.00 (Sbc_B10)   chisq2 = 0.00   ODDS = 0.35   z_cluster = 0.284