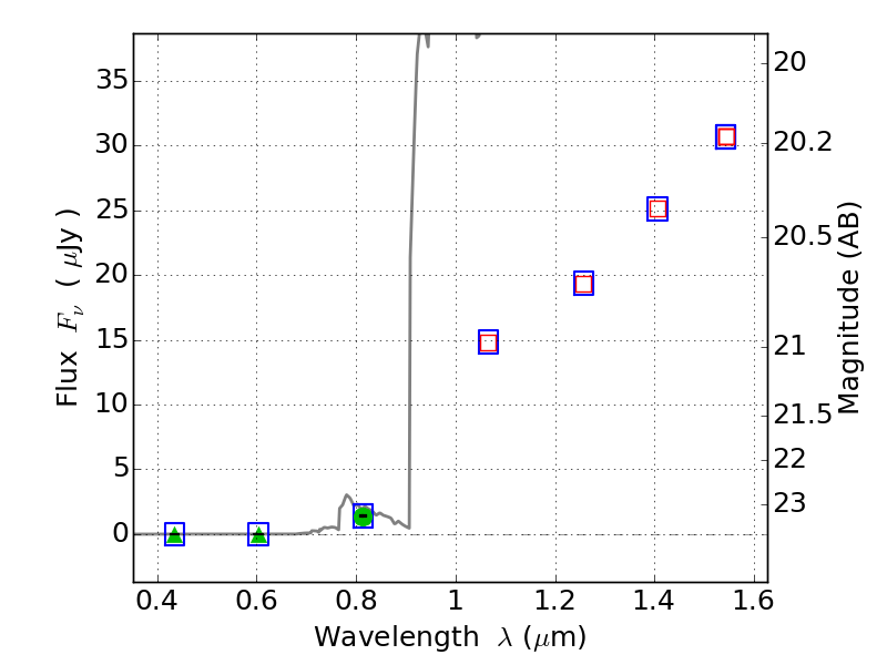
RXC0232-44 ACS+IR detection object #5782

Color images and BPZ results
Catalog: 5782.cat
Black segments are analyzed here.   Roll mouse over color images to view segments.
Best viewed in a wide browser window (1200 pixels or more).   Download SED & P(z) plots to view larger versions.
In P(z) plots: Yellow lines mark the cluster redshift z = 0.284,  

Object #5782   x,y = (3719, 640)   RA, Dec = (02:32:11.496, -44:22:33.60) = (38.04790, -44.37600)   BPZ = 6.470 [6.165--8.770]   type = 6.00 (Sbc_B10)   chisq2 = 0.00   ODDS = 0.45   z_cluster = 0.284