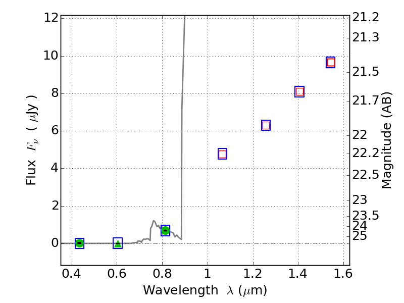
RXC0232-44 ACS+IR detection object #5423

Color images and BPZ results
Catalog: 5423.cat
Black segments are analyzed here.   Roll mouse over color images to view segments.
Best viewed in a wide browser window (1200 pixels or more).   Download SED & P(z) plots to view larger versions.
In P(z) plots: Yellow lines mark the cluster redshift z = 0.284,  

Object #5423   x,y = (3857, 1159)   RA, Dec = (02:32:10.728, -44:22:02.64) = (38.04470, -44.36740)   BPZ = 6.290 [5.923--8.991]   type = 6.00 (Sbc_B10)   chisq2 = 0.00   ODDS = 0.38   z_cluster = 0.284