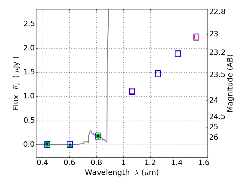
RXC0232-44 ACS+IR detection object #5202
Color images and BPZ results
Catalog: 5202.cat
Black segments are analyzed here. Roll mouse over color images to view segments.
Best viewed in a wide browser window (1200 pixels or more). Download SED & P(z) plots to view larger versions.
In P(z) plots: Yellow lines mark the cluster redshift z = 0.284,
Object #5202 x,y = (3866, 1213) RA, Dec = (02:32:10.680, -44:21:59.40) = (38.04450, -44.36650) BPZ = 6.231 [5.744--9.282] type = 6.00 (Sbc_B10) chisq2 = 0.00 ODDS = 0.32 z_cluster = 0.284