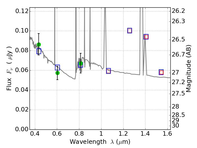
RXC0232-44 ACS+IR detection object #512

Color images and BPZ results
Catalog: 512.cat
Black segments are analyzed here.   Roll mouse over color images to view segments.
Best viewed in a wide browser window (1200 pixels or more).   Download SED & P(z) plots to view larger versions.
In P(z) plots: Yellow lines mark the cluster redshift z = 0.284,  

Object #512   x,y = (2857, 4041)   RA, Dec = (02:32:16.320, -44:19:09.48) = (38.06800, -44.31930)   BPZ = 1.073 [0.642--2.467]   type = 11.00 (SB11_A_0_l)   chisq2 = 0.66   ODDS = 0.20   z_cluster = 0.284