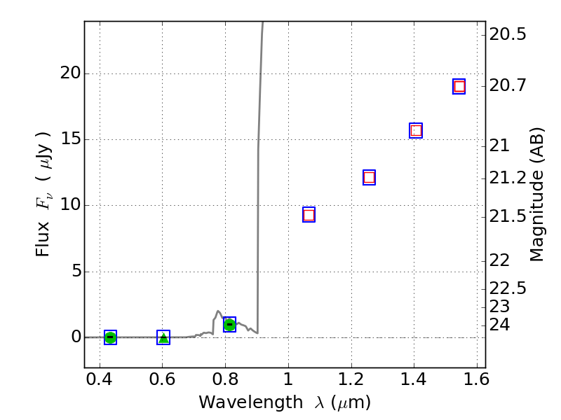
RXC0232-44 ACS+IR detection object #4822

Color images and BPZ results
Catalog: 4822.cat
Black segments are analyzed here.   Roll mouse over color images to view segments.
Best viewed in a wide browser window (1200 pixels or more).   Download SED & P(z) plots to view larger versions.
In P(z) plots: Yellow lines mark the cluster redshift z = 0.284,  

Object #4822   x,y = (3959, 1466)   RA, Dec = (02:32:10.152, -44:21:44.28) = (38.04230, -44.36230)   BPZ = 6.428 [6.030--8.949]   type = 6.00 (Sbc_B10)   chisq2 = 0.00   ODDS = 0.42   z_cluster = 0.284