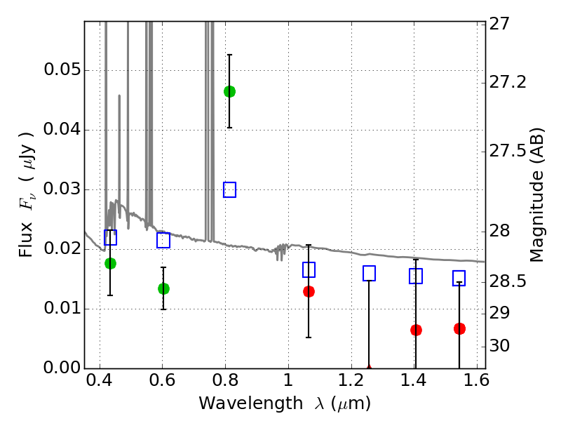
RXC0232-44 ACS+IR detection object #4680
Color images and BPZ results
Catalog: 4680.cat
Black segments are analyzed here. Roll mouse over color images to view segments.
Best viewed in a wide browser window (1200 pixels or more). Download SED & P(z) plots to view larger versions.
In P(z) plots: Yellow lines mark the cluster redshift z = 0.284,
Object #4680 x,y = (2874, 1561) RA, Dec = (02:32:16.224, -44:21:38.52) = (38.06760, -44.36070) BPZ = 0.134 [0.091--0.254] type = 11.00 (SB11_A_0_l) chisq2 = 3.26 ODDS = 0.77 z_cluster = 0.284