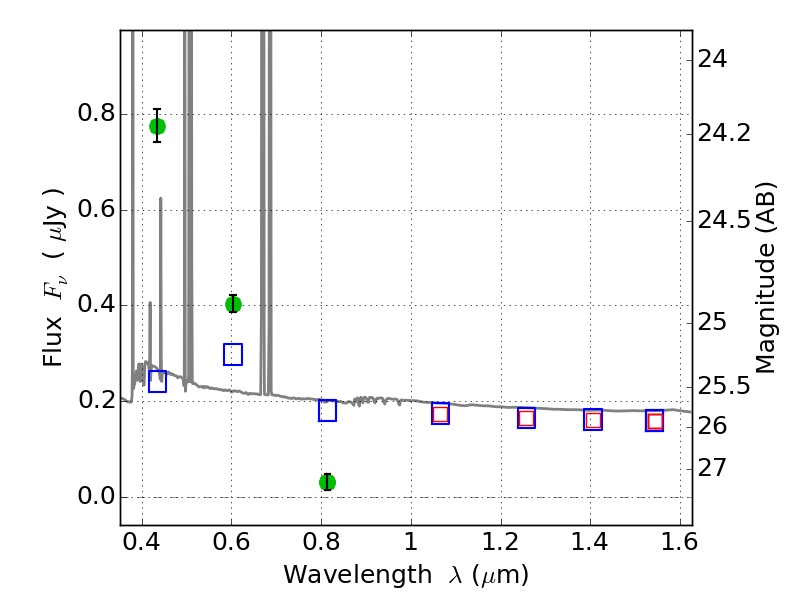
RXC0232-44 ACS+IR detection object #4479

Color images and BPZ results
Catalog: 4479.cat
Black segments are analyzed here.   Roll mouse over color images to view segments.
Best viewed in a wide browser window (1200 pixels or more).   Download SED & P(z) plots to view larger versions.
In P(z) plots: Yellow lines mark the cluster redshift z = 0.284,  

Object #4479   x,y = (4034, 1657)   RA, Dec = (02:32:09.744, -44:21:32.76) = (38.04060, -44.35910)   BPZ = 0.018 [0.010--0.036]   type = 11.00 (SB11_A_0_l)   chisq2 = 266.70   ODDS = 1.00   z_cluster = 0.284