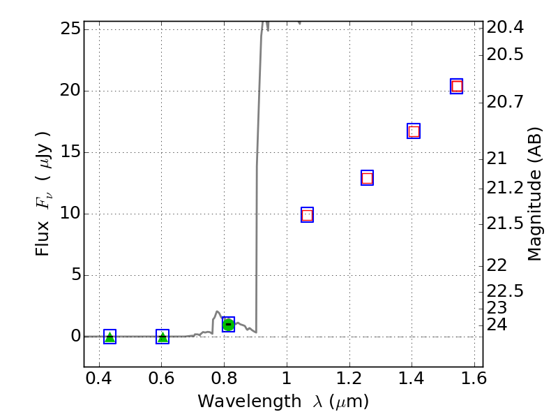
RXC0232-44 ACS+IR detection object #4473

Color images and BPZ results
Catalog: 4473.cat
Black segments are analyzed here.   Roll mouse over color images to view segments.
Best viewed in a wide browser window (1200 pixels or more).   Download SED & P(z) plots to view larger versions.
In P(z) plots: Yellow lines mark the cluster redshift z = 0.284,  

Object #4473   x,y = (4024, 1660)   RA, Dec = (02:32:09.792, -44:21:32.40) = (38.04080, -44.35900)   BPZ = 6.445 [6.037--8.842]   type = 6.00 (Sbc_B10)   chisq2 = 0.00   ODDS = 0.43   z_cluster = 0.284