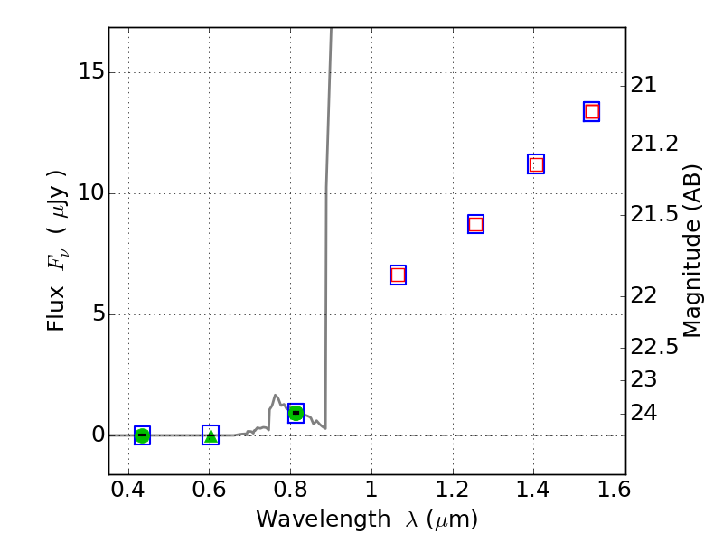
RXC0232-44 ACS+IR detection object #4460

Color images and BPZ results
Catalog: 4460.cat
Black segments are analyzed here.   Roll mouse over color images to view segments.
Best viewed in a wide browser window (1200 pixels or more).   Download SED & P(z) plots to view larger versions.
In P(z) plots: Yellow lines mark the cluster redshift z = 0.284,  

Object #4460   x,y = (307, 1660)   RA, Dec = (02:32:30.600, -44:21:32.40) = (38.12750, -44.35900)   BPZ = 6.298 [5.963--8.853]   type = 6.00 (Sbc_B10)   chisq2 = 0.00   ODDS = 0.39   z_cluster = 0.284