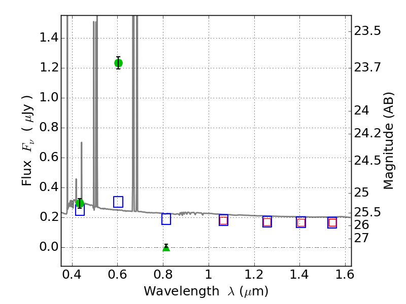
RXC0232-44 ACS+IR detection object #433

Color images and BPZ results
Catalog: 433.cat
Black segments are analyzed here.   Roll mouse over color images to view segments.
Best viewed in a wide browser window (1200 pixels or more).   Download SED & P(z) plots to view larger versions.
In P(z) plots: Yellow lines mark the cluster redshift z = 0.284,  

Object #433   x,y = (1194, 4100)   RA, Dec = (02:32:25.632, -44:19:06.24) = (38.10680, -44.31840)   BPZ = 0.019 [0.010--0.032]   type = 11.00 (SB11_A_0_l)   chisq2 = 503.20   ODDS = 1.00   z_cluster = 0.284