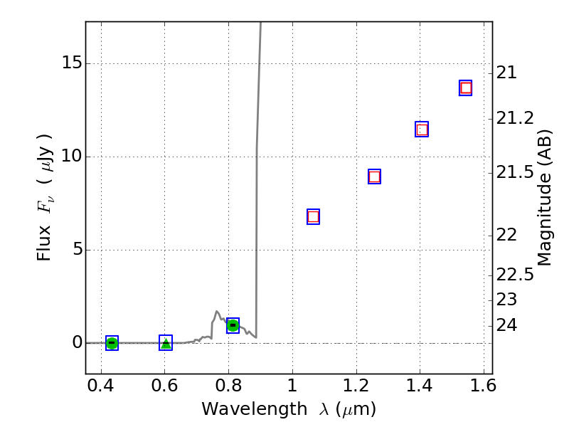
RXC0232-44 ACS+IR detection object #420

Color images and BPZ results
Catalog: 420.cat
Black segments are analyzed here.   Roll mouse over color images to view segments.
Best viewed in a wide browser window (1200 pixels or more).   Download SED & P(z) plots to view larger versions.
In P(z) plots: Yellow lines mark the cluster redshift z = 0.284,  

Object #420   x,y = (1220, 4112)   RA, Dec = (02:32:25.488, -44:19:05.52) = (38.10620, -44.31820)   BPZ = 6.298 [5.960--8.873]   type = 6.00 (Sbc_B10)   chisq2 = 0.00   ODDS = 0.39   z_cluster = 0.284