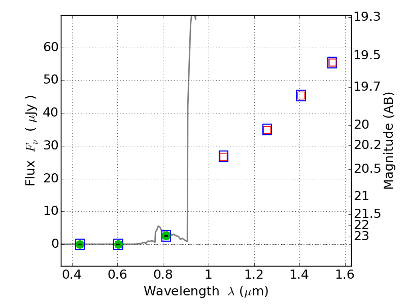
RXC0232-44 ACS+IR detection object #4171

Color images and BPZ results
Catalog: 4171.cat
Black segments are analyzed here.   Roll mouse over color images to view segments.
Best viewed in a wide browser window (1200 pixels or more).   Download SED & P(z) plots to view larger versions.
In P(z) plots: Yellow lines mark the cluster redshift z = 0.284,  

Object #4171   x,y = (4204, 2145)   RA, Dec = (02:32:08.784, -44:21:03.24) = (38.03660, -44.35090)   BPZ = 6.462 [6.220--8.903]   type = 6.00 (Sbc_B10)   chisq2 = 0.00   ODDS = 0.51   z_cluster = 0.284