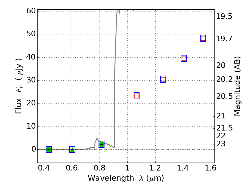
RXC0232-44 ACS+IR detection object #417

Color images and BPZ results
Catalog: 417.cat
Black segments are analyzed here.   Roll mouse over color images to view segments.
Best viewed in a wide browser window (1200 pixels or more).   Download SED & P(z) plots to view larger versions.
In P(z) plots: Yellow lines mark the cluster redshift z = 0.284,  

Object #417   x,y = (1230, 4110)   RA, Dec = (02:32:25.416, -44:19:05.52) = (38.10590, -44.31820)   BPZ = 6.471 [6.185--8.869]   type = 6.00 (Sbc_B10)   chisq2 = 0.00   ODDS = 0.48   z_cluster = 0.284