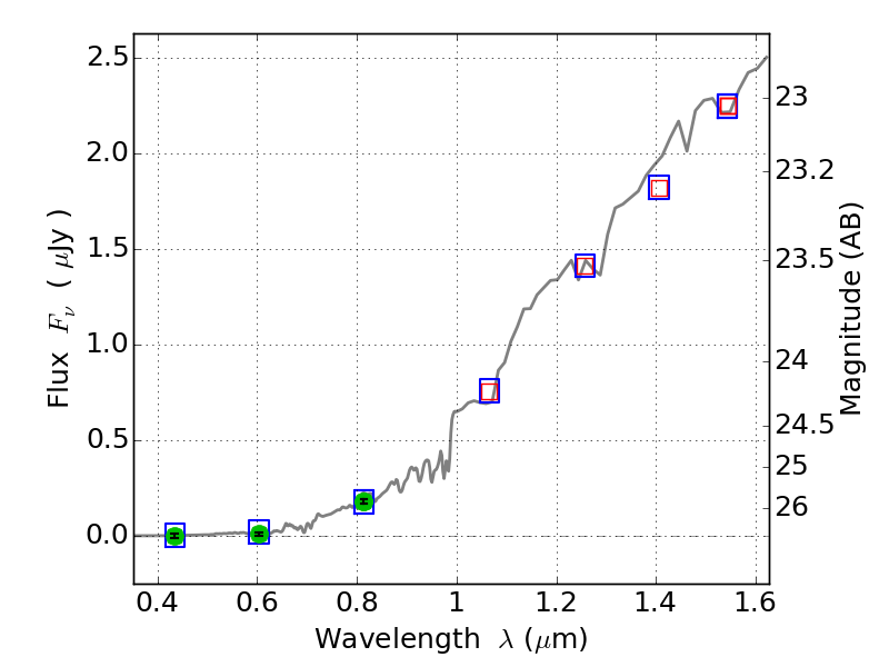
RXC0232-44 ACS+IR detection object #4082

Color images and BPZ results
Catalog: 4082.cat
Black segments are analyzed here.   Roll mouse over color images to view segments.
Best viewed in a wide browser window (1200 pixels or more).   Download SED & P(z) plots to view larger versions.
In P(z) plots: Yellow lines mark the cluster redshift z = 0.284,  

Object #4082   x,y = (4118, 1876)   RA, Dec = (02:32:09.264, -44:21:19.44) = (38.03860, -44.35540)   BPZ = 1.477 [1.314--7.511]   type = 2.00 (Ell6_A_0)   chisq2 = 0.01   ODDS = 0.10   z_cluster = 0.284