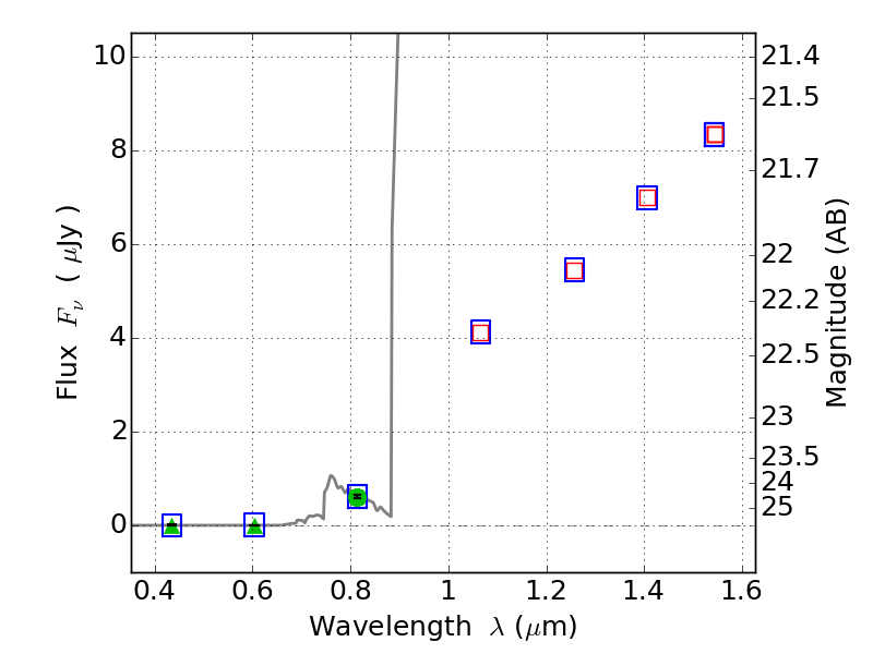
RXC0232-44 ACS+IR detection object #4020

Color images and BPZ results
Catalog: 4020.cat
Black segments are analyzed here.   Roll mouse over color images to view segments.
Best viewed in a wide browser window (1200 pixels or more).   Download SED & P(z) plots to view larger versions.
In P(z) plots: Yellow lines mark the cluster redshift z = 0.284,  

Object #4020   x,y = (402, 1909)   RA, Dec = (02:32:30.048, -44:21:17.64) = (38.12520, -44.35490)   BPZ = 6.272 [5.868--8.889]   type = 6.00 (Sbc_B10)   chisq2 = 0.00   ODDS = 0.38   z_cluster = 0.284