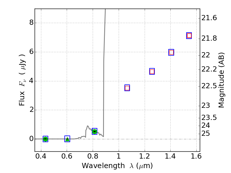
RXC0232-44 ACS+IR detection object #3975

Color images and BPZ results
Catalog: 3975.cat
Black segments are analyzed here.   Roll mouse over color images to view segments.
Best viewed in a wide browser window (1200 pixels or more).   Download SED & P(z) plots to view larger versions.
In P(z) plots: Yellow lines mark the cluster redshift z = 0.284,  

Object #3975   x,y = (4149, 1942)   RA, Dec = (02:32:09.096, -44:21:15.48) = (38.03790, -44.35430)   BPZ = 6.275 [5.881--8.971]   type = 6.00 (Sbc_B10)   chisq2 = 0.00   ODDS = 0.37   z_cluster = 0.284