RXC0232-44 ACS+IR detection object #3586

Color images and BPZ results
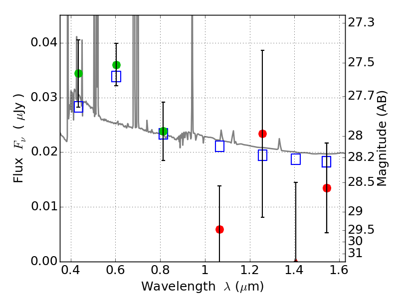
Catalog: 3586.cat
Black segments are analyzed here.   Roll mouse over color images to view segments.
Best viewed in a wide browser window (1200 pixels or more).   Download SED & P(z) plots to view larger versions.
In P(z) plots: Yellow lines mark the cluster redshift z = 0.284,  

Object #3586   x,y = (1723, 2132)   RA, Dec = (02:32:22.680, -44:21:04.32) = (38.09450, -44.35120)   BPZ = 0.045 [0.023--3.048]   type = 10.90 (SB11_A_0_l - SB3_B10)   chisq2 = 1.03   ODDS = 0.19   z_cluster = 0.284