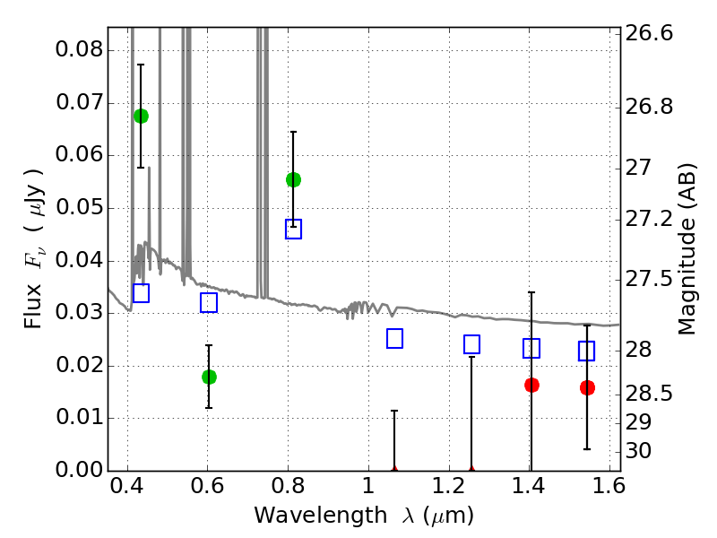
RXC0232-44 ACS+IR detection object #3391

Color images and BPZ results
Catalog: 3391.cat
Black segments are analyzed here.   Roll mouse over color images to view segments.
Best viewed in a wide browser window (1200 pixels or more).   Download SED & P(z) plots to view larger versions.
In P(z) plots: Yellow lines mark the cluster redshift z = 0.284,  

Object #3391   x,y = (2355, 2214)   RA, Dec = (02:32:19.128, -44:20:59.28) = (38.07970, -44.34980)   BPZ = 0.111 [0.084--0.932]   type = 11.00 (SB11_A_0_l)   chisq2 = 3.42   ODDS = 0.66   z_cluster = 0.284