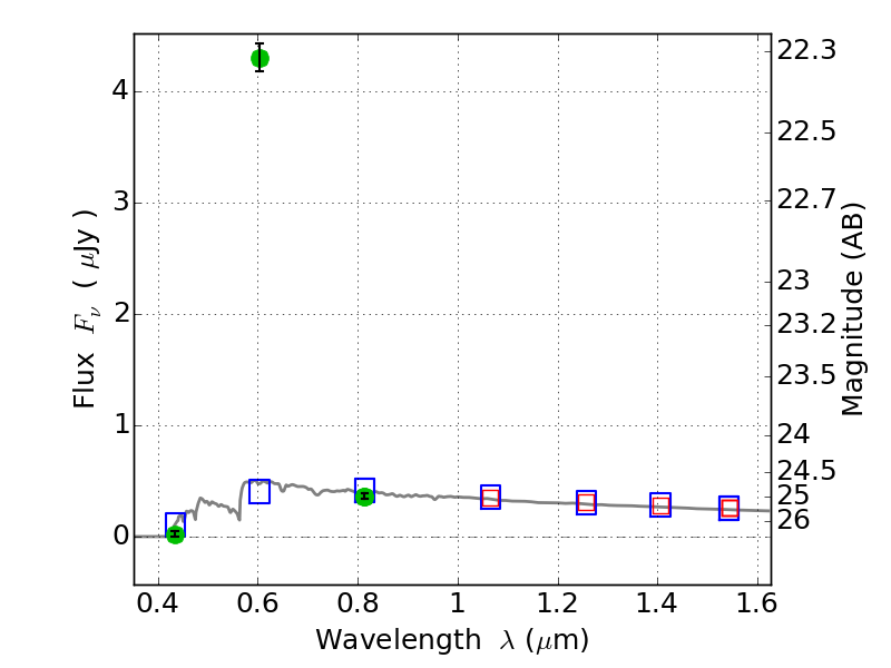
RXC0232-44 ACS+IR detection object #3156

Color images and BPZ results
Catalog: 3156.cat
Black segments are analyzed here.   Roll mouse over color images to view segments.
Best viewed in a wide browser window (1200 pixels or more).   Download SED & P(z) plots to view larger versions.
In P(z) plots: Yellow lines mark the cluster redshift z = 0.284,  

Object #3156   x,y = (678, 2616)   RA, Dec = (02:32:28.512, -44:20:35.16) = (38.11880, -44.34310)   BPZ = 3.637 [3.551--3.737]   type = 11.00 (SB11_A_0_l)   chisq2 = 908.60   ODDS = 1.00   z_cluster = 0.284