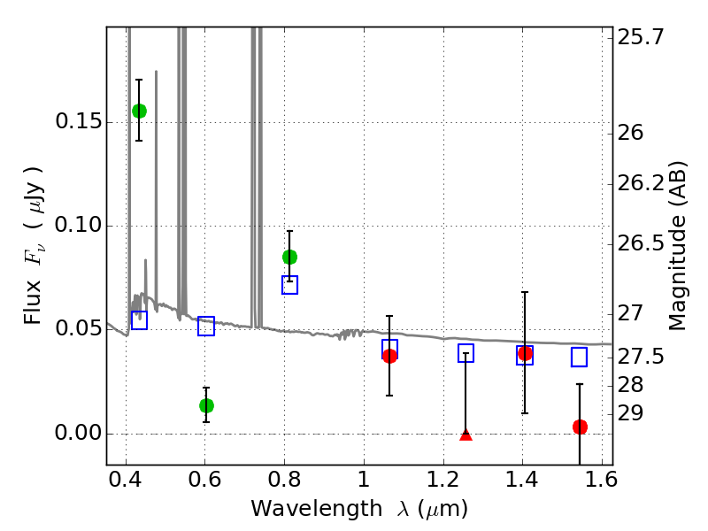
RXC0232-44 ACS+IR detection object #2778

Color images and BPZ results
Catalog: 2778.cat
Black segments are analyzed here.   Roll mouse over color images to view segments.
Best viewed in a wide browser window (1200 pixels or more).   Download SED & P(z) plots to view larger versions.
In P(z) plots: Yellow lines mark the cluster redshift z = 0.284,  

Object #2778   x,y = (2286, 2499)   RA, Dec = (02:32:19.512, -44:20:42.36) = (38.08130, -44.34510)   BPZ = 0.103 [0.086--1.036]   type = 11.00 (SB11_A_0_l)   chisq2 = 9.84   ODDS = 0.38   z_cluster = 0.284