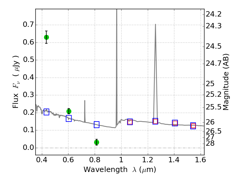
RXC0232-44 ACS+IR detection object #2760

Color images and BPZ results
Catalog: 2760.cat
Black segments are analyzed here.   Roll mouse over color images to view segments.
Best viewed in a wide browser window (1200 pixels or more).   Download SED & P(z) plots to view larger versions.
In P(z) plots: Yellow lines mark the cluster redshift z = 0.284,  

Object #2760   x,y = (668, 2632)   RA, Dec = (02:32:28.560, -44:20:34.08) = (38.11900, -44.34280)   BPZ = 1.594 [1.475--2.070]   type = 11.00 (SB11_A_0_l)   chisq2 = 174.00   ODDS = 0.61   z_cluster = 0.284