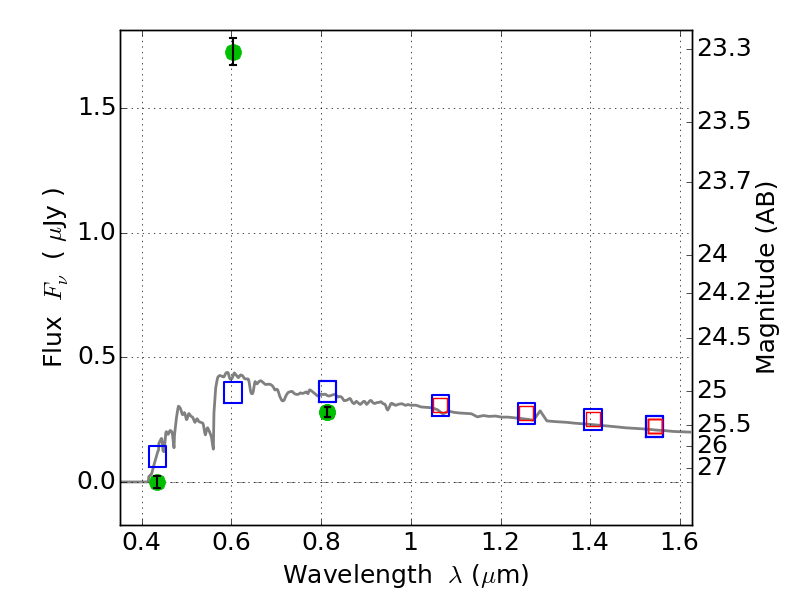
RXC0232-44 ACS+IR detection object #2745

Color images and BPZ results
Catalog: 2745.cat
Black segments are analyzed here.   Roll mouse over color images to view segments.
Best viewed in a wide browser window (1200 pixels or more).   Download SED & P(z) plots to view larger versions.
In P(z) plots: Yellow lines mark the cluster redshift z = 0.284,  

Object #2745   x,y = (612, 2516)   RA, Dec = (02:32:28.872, -44:20:41.28) = (38.12030, -44.34480)   BPZ = 3.607 [3.509--3.677]   type = 11.00 (SB11_A_0_l)   chisq2 = 566.20   ODDS = 1.00   z_cluster = 0.284