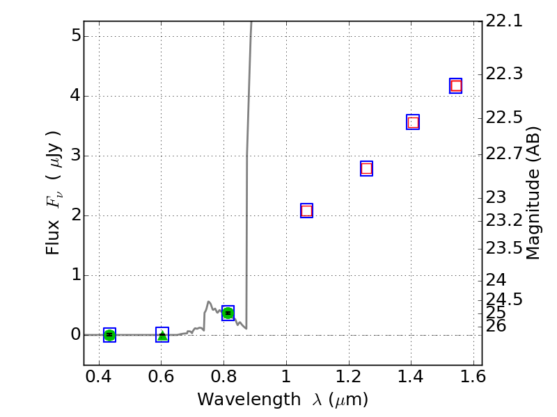
RXC0232-44 ACS+IR detection object #271

Color images and BPZ results
Catalog: 271.cat
Black segments are analyzed here.   Roll mouse over color images to view segments.
Best viewed in a wide browser window (1200 pixels or more).   Download SED & P(z) plots to view larger versions.
In P(z) plots: Yellow lines mark the cluster redshift z = 0.284,  

Object #271   x,y = (1305, 4312)   RA, Dec = (02:32:25.008, -44:18:53.28) = (38.10420, -44.31480)   BPZ = 6.190 [5.685--8.976]   type = 6.00 (Sbc_B10)   chisq2 = 0.00   ODDS = 0.35   z_cluster = 0.284