RXC0232-44 ACS+IR detection object #2703

Color images and BPZ results
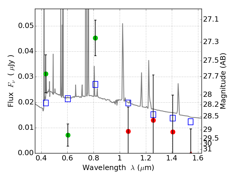
Catalog: 2703.cat
Black segments are analyzed here.   Roll mouse over color images to view segments.
Best viewed in a wide browser window (1200 pixels or more).   Download SED & P(z) plots to view larger versions.
In P(z) plots: Yellow lines mark the cluster redshift z = 0.284,  

Object #2703   x,y = (2209, 2536)   RA, Dec = (02:32:19.944, -44:20:39.84) = (38.08310, -44.34440)   BPZ = 0.128 [0.087--0.555]   type = 10.40 (SB3_B10 - SB11_A_0_l)   chisq2 = 4.39   ODDS = 0.73   z_cluster = 0.284