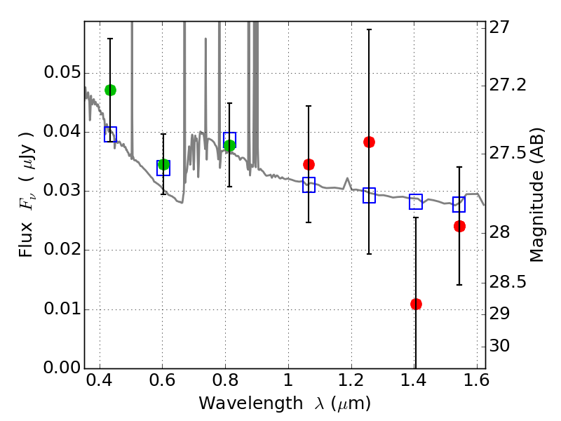
RXC0232-44 ACS+IR detection object #2640

Color images and BPZ results
Catalog: 2640.cat
Black segments are analyzed here.   Roll mouse over color images to view segments.
Best viewed in a wide browser window (1200 pixels or more).   Download SED & P(z) plots to view larger versions.
In P(z) plots: Yellow lines mark the cluster redshift z = 0.284,  

Object #2640   x,y = (2544, 2821)   RA, Dec = (02:32:18.072, -44:20:22.92) = (38.07530, -44.33970)   BPZ = 0.798 [0.113--2.949]   type = 11.00 (SB11_A_0_l)   chisq2 = 0.39   ODDS = 0.11   z_cluster = 0.284