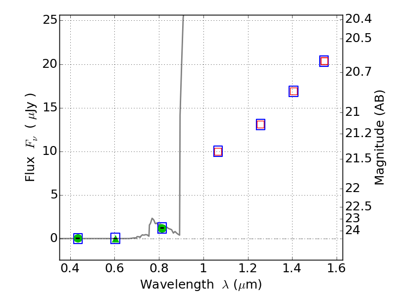
RXC0232-44 ACS+IR detection object #2024

Color images and BPZ results
Catalog: 2024.cat
Black segments are analyzed here.   Roll mouse over color images to view segments.
Best viewed in a wide browser window (1200 pixels or more).   Download SED & P(z) plots to view larger versions.
In P(z) plots: Yellow lines mark the cluster redshift z = 0.284,  

Object #2024   x,y = (801, 2975)   RA, Dec = (02:32:27.816, -44:20:13.56) = (38.11590, -44.33710)   BPZ = 6.362 [5.976--8.895]   type = 6.00 (Sbc_B10)   chisq2 = 0.00   ODDS = 0.42   z_cluster = 0.284