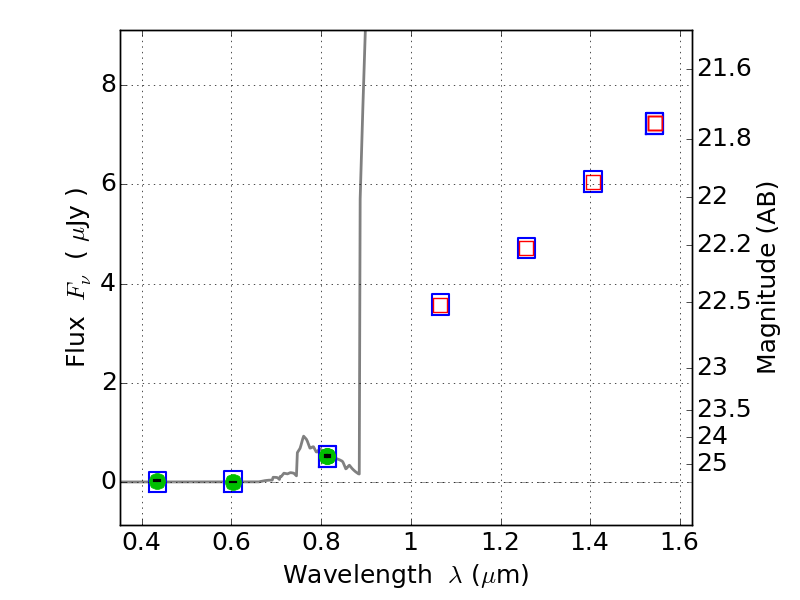
RXC0232-44 ACS+IR detection object #1985

Color images and BPZ results
Catalog: 1985.cat
Black segments are analyzed here.   Roll mouse over color images to view segments.
Best viewed in a wide browser window (1200 pixels or more).   Download SED & P(z) plots to view larger versions.
In P(z) plots: Yellow lines mark the cluster redshift z = 0.284,  

Object #1985   x,y = (866, 3006)   RA, Dec = (02:32:27.456, -44:20:11.76) = (38.11440, -44.33660)   BPZ = 6.278 [5.928--9.176]   type = 6.00 (Sbc_B10)   chisq2 = 0.00   ODDS = 0.38   z_cluster = 0.284