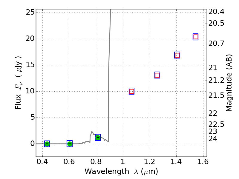
RXC0232-44 ACS+IR detection object #1888

Color images and BPZ results
Catalog: 1888.cat
Black segments are analyzed here.   Roll mouse over color images to view segments.
Best viewed in a wide browser window (1200 pixels or more).   Download SED & P(z) plots to view larger versions.
In P(z) plots: Yellow lines mark the cluster redshift z = 0.284,  

Object #1888   x,y = (872, 3135)   RA, Dec = (02:32:27.432, -44:20:04.20) = (38.11430, -44.33450)   BPZ = 6.364 [5.994--8.767]   type = 6.00 (Sbc_B10)   chisq2 = 0.00   ODDS = 0.43   z_cluster = 0.284