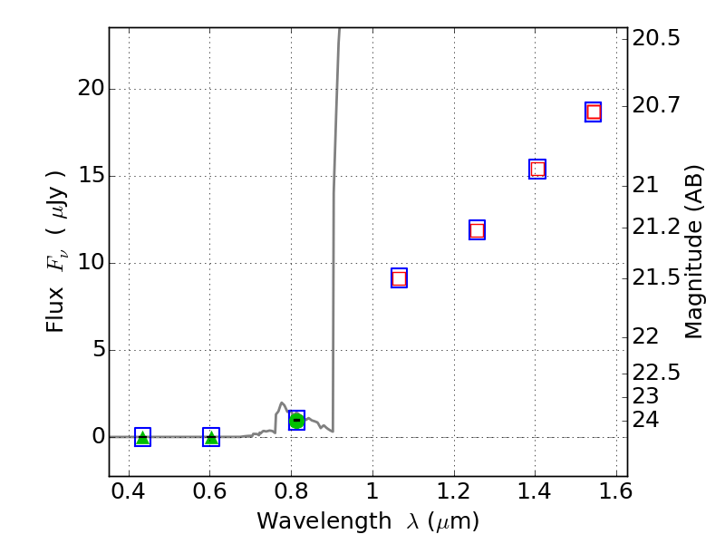
RXC0232-44 ACS+IR detection object #1496

Color images and BPZ results
Catalog: 1496.cat
Black segments are analyzed here.   Roll mouse over color images to view segments.
Best viewed in a wide browser window (1200 pixels or more).   Download SED & P(z) plots to view larger versions.
In P(z) plots: Yellow lines mark the cluster redshift z = 0.284,  

Object #1496   x,y = (4608, 3289)   RA, Dec = (02:32:06.528, -44:19:54.84) = (38.02720, -44.33190)   BPZ = 6.426 [6.018--8.862]   type = 6.00 (Sbc_B10)   chisq2 = 0.00   ODDS = 0.42   z_cluster = 0.284