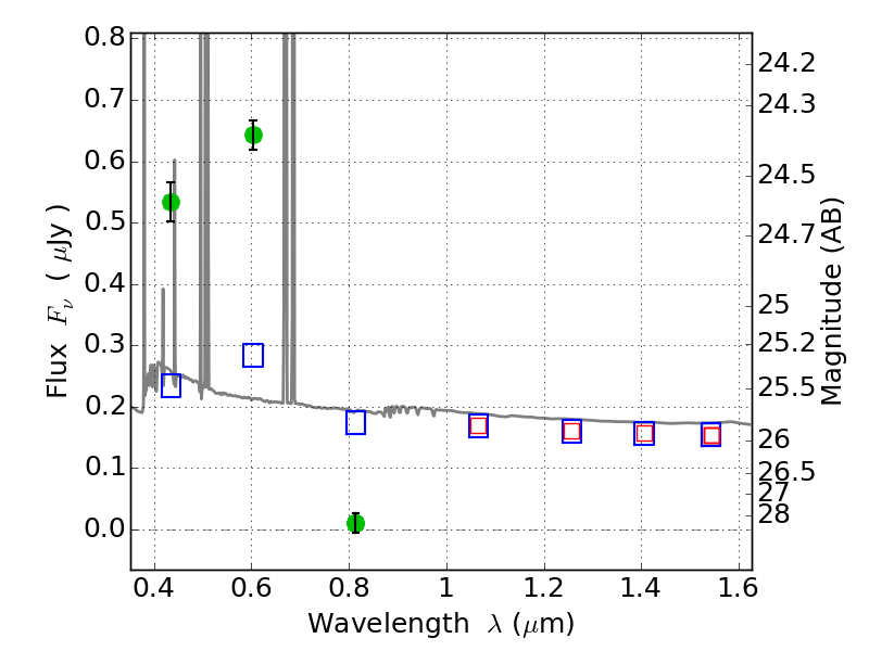
RXC0232-44 ACS+IR detection object #1167

Color images and BPZ results
Catalog: 1167.cat
Black segments are analyzed here.   Roll mouse over color images to view segments.
Best viewed in a wide browser window (1200 pixels or more).   Download SED & P(z) plots to view larger versions.
In P(z) plots: Yellow lines mark the cluster redshift z = 0.284,  

Object #1167   x,y = (986, 3495)   RA, Dec = (02:32:26.784, -44:19:42.24) = (38.11160, -44.32840)   BPZ = 0.019 [0.010--0.032]   type = 11.00 (SB11_A_0_l)   chisq2 = 294.90   ODDS = 1.00   z_cluster = 0.284