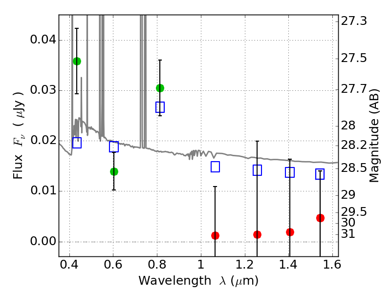
RXC0232-44 ACS+IR detection object #1046

Color images and BPZ results
Catalog: 1046.cat
Black segments are analyzed here.   Roll mouse over color images to view segments.
Best viewed in a wide browser window (1200 pixels or more).   Download SED & P(z) plots to view larger versions.
In P(z) plots: Yellow lines mark the cluster redshift z = 0.284,  

Object #1046   x,y = (2739, 3600)   RA, Dec = (02:32:16.992, -44:19:36.12) = (38.07080, -44.32670)   BPZ = 0.114 [0.083--1.350]   type = 11.00 (SB11_A_0_l)   chisq2 = 1.94   ODDS = 0.50   z_cluster = 0.284